
Misurare il fun to drive
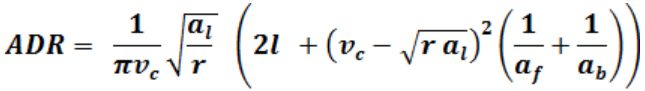
Questo è quello che hanno ottenuto i ricercatori assoldati da Avis Budget Group. È probabilmente il sogno di qualsiasi ingegnere che tale vuole essere e definirsi: esprimere attraverso una sola equazione un comportamento complesso o, più in generale, un’analisi generalizzata di un fenomeno. In questo caso, ad essere messo sotto analisi, è stato proprio il piacere di guida. Ma come misurarlo? Come relazionarlo con la tipologia del percorso e il modello di auto? La risposta ci viene da un gruppo di tecnici assoldati da Avis: a loro è stato chiesto di trovare un modo scientifico per misurare quanto sia divertente una strada. Il team di esperti che è stato chiamato in causa si compone di personaggi con background culturale molto differente, ma tutti possiedono conoscenze adatte alla scopo. A capo del gruppo è stato messo un esperto di fisica quantistica e a lui è stato affidato il difficile compito di coordinare un progettista di Formula 1, un designer di auto da competizione e un’ideatore di montagne russe, quest’ultimo è un inglese famoso a livello mondiale. Il risultato della ricerca è un indice, l’Avis Driving Ratio (ADR), espresso da un’equazione relativamente semplice che per poter essere utilizzata, ovviamente, richiede ottimi strumenti di acquisizione. L’equazione è la seguente:
I parametri necessari per il calcolo dell’ADR sono da intendersi come segue:
?f=accelerazione longitudinale
?b=decelerazione longitudinale
?l=accelerazione laterale
r=raggio delle curve
l=lunghezza dei rettilinei
vc=velocità di crociera
Misurare il fun to drive
Si tratta ovviamente di valori medi che tengono conto dell’intero tracciato. “Le fasi chiave della guida sono quattro”, ha dichiarato l’autorevole fisico quantistico Mark Hadley, che ha guidato il gruppo di ricerca. “Curve, accelerazioni, velocità di crociera e frenate. Una strada piacevole da guidare presenta il giusto bilanciamento tra queste fasi per offrire il gusto della velocità e dell’accelerazione, ma anche tratti che mettano alla prova le abilità di guida e momenti in cui sia possibile godersi il panorama. Nel processi di creazione dell’Avis Driving Ratio abbiamo calcolato quale sia il bilanciamento ottimale tra queste componenti, per stabilire in maniera scientifica quale sia la migliore strada al mondo per chi ama guidare”. Sempre secondo il gruppo di Avis: “Applicandola a 25 delle strade – tra la quali sono presenti la Costiera Amalfitana e la SS227 tra Portofino e Portofino Vetta – più spesso citate come le migliori al mondo per lo scenario in cui si trovano oppure per le sfide a chi guida sui forum degli appassionati o dei club automobilistici, Avis Budget Group ha scoperto che la strada perfetta è la N-222 che in Portogallo collega Peso da Régua a Pinhão. Riconoscendo come la magia di una strada e il piacere di guida dipendano anche dallo scenario in cui è inserita, l’ADR è stato inizialmente utilizzato per valutare percorsi rinomati per la bellezza del territorio che attraversano. La N-222 nel tratto da Peso de Régua e Pinhão segue il fiume Douro e offre scorci emozionanti del paesaggio collinare che caratterizza la regione ed è la strada che più si avvicina al rapporto ADR ideale di 10:1 (10 secondi in rettilineo ogni secondo in curva) con un indice di 11:1, per offrire la migliore esperienza di guida al mondo. “Il tempo trascorso in rettilineo consente di apprezzare il contesto in cui si guida prima di passare alla curva successiva, dando al guidatore le emozioni di un percorso emozionante”, ha aggiunto il dottor Hadley”.

Le auto scelte per testare il modello matematico sono state scelte dalla flotta Avis Prestige. Si tratta di una Porsche Carrera 911, una Jaguar XKRS e una Mercedes E350. Il modello stesso, invece, è stato messo alla frusta da Hermann Tilke, l’autore di alcuni tra i principali circuiti del mondo di Formula 1, e da John Wardley, progettista di montagne russe conosciuto in tutto il mondo.
“La strada vincente offre ai guidatori il giusto bilanciamento tra curve strette e tratti di rettilineo più lunghi. Questo crea un’esperienza di guida emozionante e varia, che mette alla prova le capacità del pilota e le performance dell’auto, dando anche la possibilità di apprezzare panorami mozzafiato”, ha commentato Ramón Biarnes Commercial Director EMEA Southern Region di Avis Budget Group.

“In Avis siamo appassionati di motori e grandi esperienza di guida, e anche tra noi il dibattito su quale sia la strada più divertente al mondo è andato avanti per anni – probabilmente da quando siamo stati fondati nel 1946. Grazie a questa formula possiamo finalmente giungere a una risposta definitiva e non vediamo l’ora di capire come questa sarà accolta, o se ci saranno altre strade che secondo gli appassionati potranno ‘sfidare’ il primato della N-222”, ha aggiunto Biarnes.
Come descritto da Avis stessa “tra Peso de Régua e Pinhão, la N-222 attraversa la panoramica valle del Douro e porta il guidatore lungo una strada che abbraccia il fiume Douro, offrendo una visuale mozzafiato delle vigne che lo costeggiano fino alla pittoresca cittadina di Pinhão. Lungo i 27km presi in considerazione include 93 curve che mettono alla prova le abilità di guida e tutta la potenza di un’auto, offrendo frequenti cambi di visuale. La valle del Douro è la culla del Porto, la prima regione al mondo a ricevere per questo un riconoscimento formale quando, nel 2001, l’area di produzione del vino è stata dichiarata World Heritage Site dall’UNESCO. Il secondo e terzo gradino del podio sono occupati dalla californiana Big Sur e dalla A535, che attraversa la Dane River Valley nel Regno Unito, con indici (rispettivamente) di 8,5:1 e 8,4:1. Per chi cerca emozioni forti e sfide estreme, la Costiera Amalfitana ha un rapporto di 1:1 e lascia i guidatori con il fiato sospeso per le sue curve strette e i panorami mozzafiato, mentre la Nihon Romantic Highway in Giappone presenta un indice di 2:1 per le sue curve a gomito. La Overseas Highway in Florida offre invece un rapporto di 1240:1 e rappresenta la strada ideale per chi cerca un’esperienza di guida tranquilla e rilassata.


















